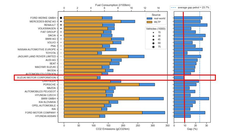
Η Ευρωπαϊκή Επιτροπή δημοσίευσε τα αποτελέσματα OBFCM, τα οποία αποτυπώνουν τις εκπομπές CO2 των αυτοκινήτων σε πραγματικές συνθήκες και τις συγκρίνουν με τις εκπομπές CO2 που προκύπτουν από την επίσημη διαδικασία μέτρησης WLTP. Αυτό που προκύπτει μέσα από τα στοιχεία είναι ότι τα μοντέλα της Suzuki έχουν τη χαμηλότερη απόκλιση σε σχέση με τους ανταγωνιστές.
Σύμφωνα με μελέτες, ο τομέας των οδικών μεταφορών φέρει την ευθύνη για περίπου το ένα πέμπτο των εκπομπών αερίων του θερμοκηπίου στην Ευρωπαϊκή Ένωση (ΕΕ). Αναλύοντας τις συγκεκριμένες εκπομπές ρύπων, τα ελαφρά οχήματα (επιβατικά αυτοκίνητα και ελαφρά εμπορικά οχήματα) ευθύνονται για περίπου το 70% του συνόλου.
Για να επιτευχθούν οι στόχοι που έχει θέσει η Ευρωπαϊκή Ένωση μέχρι το 2050 και αφορούν το περιβάλλον, η «Πράσινη Συμφωνία» επικεντρώνεται στη μείωση των εκπομπών αερίων του θερμοκηπίου από τις μεταφορές κατά 90% σε σύγκριση με τα επίπεδα του 1990.
Οι νέες διαδικασίες μέτρησης ρύπων, που ξεκίνησαν το 2017 με το WLTP, περιλαμβάνουν και τις μετρήσεις OBFCM (on-board fuel consumption monitoring), όπου αυτοκίνητα εφοδιάζονται με συσκευές μέτρησης σε πραγματικές συνθήκες κίνησης.
Σύμφωνα με τα αποτελέσματα των μετρήσεων βάσει OBFCM η διαφορά μεταξύ των εκπομπών CO2 σε πραγματικές συνθήκες κίνησης και των εκπομπών CO2 σύμφωνα με το WLTP για τα αυτοκίνητα που κατασκευάστηκαν από την SuzukiMotorCorporation ήταν η μικρότερη μεταξύ των αυτοκινήτων με κινητήρα βενζίνης εσωτερικής καύσης, όπως φαίνεται και στο διάγραμμα που ακολουθεί.
Το αναφερόμενο έγγραφο βασίζεται σε δεδομένα που συλλέχθηκαν το 2021 και αποτυπώνουν το αποτέλεσμα των μετρήσεων του 2,5% των αυτοκινήτων της Suzuki εκ του συνόλου των πωλήσεών της (ταξινομήσεις 2021). Να σημειώσουμε ότι ο μέσος όρος για τα αυτοκίνητα βενζίνης είναι 23,7%, ενώ η SuzukiMotorCorporation έχει τη χαμηλότερη απόκλιση, 9,43%.
Αναλυτικά στοιχεία για τον τρόπο μέτρησης και τα αποτελέσματα, μπορείτε να δείτε πατώντας ΕΔΩ.
ΔΙΑΒΑΣΤΕ ΕΠΙΣΗΣ:
Έκθεση-σοκ: Τα αυτοκίνητα στην Ευρώπη εκπέμπουν ίδια ποσότητα CO2 όπως πριν από 12 χρόνια
Diesel αυτοκίνητα: Τι είναι το φίλτρο DPF και πώς γίνεται η διαδικασία αναγέννησης (video)
Το T.50 του Gordon Murray πήρε μπροστά και ο ήχος του κολάζει (video)





ΔΗΜΟΦΙΛΗ
_77761_474132_type13129.jpg)




